HDC/ASCT is standard treatment of chemosensitive relapsed HL, with worse results for high-risk relapses (HRR) than for low-risk relapses. Aiming to improve the results of BEAM, we have studied newer HDC regimens seeking synergistic inhibition of DNA damage repair: gemcitabine/busulfan/melphalan (GBM) (Nieto, 2012) and vorinostat + GBM (SAHA/GBM) (Nieto, 2015). We wished to describe the evolution of results in HRR HL over the last 15 years and identify prognostic features.
Methods
We retrospectively analyzed all pts with HRR HL treated at MDACC with HDC/ASCT between 1/1/2005-12/31/2019. HRR HL was defined by ≥1 of the modified AETHERA criteria: primary refractory disease, relapse within 1 year of completing initial therapy, extranodal extension at relapse, B symptoms at relapse, or requiring > 1 salvage therapy line. All pts underwent similar pre-SCT evaluation and met eligibility criteria as per our institutional guidelines. HDC regimens included BEAM, busulfan/melphalan (BuMel), GBM and SAHA/GBM. Post-ASCT consolidative radiotherapy (RT) was considered for bulky relapses and/or PET+ lesions at ASCT. We evaluated age, gender, ASCT year, primary refractory disease, prior disease-free interval (DFI), prior radiotherapy (RT), relapse within prior RT field, extranodal extension at relapse, B symptoms at relapse, bulky relapse (largest lesion >5 cm), No. prior relapses, No. prior lines of therapy, prior brentuximab vedotin (BV), prior anti-PD1, PET results at ASCT, post-ASCT maintenance BV and post-ASCT RT. Differences by regimen cohort were tested with Kruskal Wallis or chi-square tests. Outcomes were compared with the log-rank test. Univariable and multivariable Cox regression analyses evaluated factors associated with progression-free survival (PFS) and overall survival (OS).
Results
A total of 501 pts, treated with BEAM (N=146), BuMel (N=38), GBM (N=189) and SAHA/GBM (N=128), were analyzed (Table 1). The GBM and SAHA/GBM cohorts had significantly more high-risk criteria (P=0.0006), with more pts with primary refractory disease (P=0.001) and bulky relapse (P<0.0001), as well as more pts with PET+ disease at ASCT (P=0.0002), and were slightly younger (P=0.04). Patient- and tumor-related variables did not change over time but there was a significant increase in prior BV (P<0.0001) and anti-PD1 (P<0.0001), a decrease in PET+ disease at ASCT (P=0.0008), and an increase in post-SCT BV (P<0.0001). BEAM and BuMel predominated earlier, GBM and BEAM in middle years, and SAHA/GBM and BEAM in later years (P<0.0001). Consequently, the SAHA/GBM cohort received more prior BV (P<0.0001) and anti-PD1 (P= 0.0001), and more post-ASCT BV (P<0.0001).
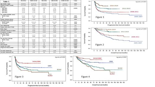
At a median follow-up of 50 months (6-186), 205 pts (40.9%) experienced relapse and 129 pts (25.8%) died. There were 2 ASCT-related deaths (both after BEAM) and 11 cases of t-MDS/AML (2 BuMel, 5 BEAM, 3 GBM and 1 SAHA/GBM). Outcomes improved significantly over time, with 2-year PFS/OS of 58%/82% (2004-2007), 59%/83% (2008-2011), 71%/94% (2012-2015) and 86%/99% (2016-2019) (P<0.0001) (Fig. 1 and 2).
Multivariable analyses of PFS identified as independent favorable predictors: Prior BV (HR 0.61, P=0.03) and SAHA/GBM (GBM HR 1.24 compared to SAHA/GBM, BuMel HR 2.24, BEAM HR 2.26) (P=0.0003) (Fig. 3). The following were independent adverse PFS predictors: Primary refractory disease (HR 1.46, P=0.02), >2 prior lines (HR 1.51, P=0.04), bulky relapse (HR 1.45, P=0.01), B symptoms (HR 1.58, P=0.009), and PET+ at ASCT (HR 2.54, P<0.0001). Regarding OS, prior BV (HR 0.48, P=0.03) and SAHA/GBM (GBM: HR 1.55, BuMel: HR 5.08, BEAM: HR 5.31) (P<0.0001) (Fig. 4) were independent favorable predictors, whereas age >35 (HR 1.84, P=0.001), >2 prior lines (HR 1.89, P=0.01), B symptoms (HR 1.63, P=0.02), and PET+ (HR 2.24, P<0.0004) were adverse predictors. Post-SCT maintenance BV correlated with better PFS in univariate analyses (P=0.01) but did not retain significance in MVA (P=0.1).
The 5-yr PFS/OS rates were: S/GBM: 72/87%, GBM: 55/75%, BEAM: 45/61% and BuMel: 39/57%. These differences persisted both within the PET-negative (P=0.0002 / P<0.0001) and PET+ subgroups (P=0.002 / P<0.0001).
Conclusions
Outcomes of HRR HL pts have improved over the last 15 years. Incorporation of newer agents (BV and anti-PD1) to salvage therapy, resulting in more PET-negative CRs at ASCT, and the use of more active HDC regimens (especially, SAHA/GBM) were associated with these improved results.
Nieto:Novartis: Other: Grant Support; Affimed: Consultancy, Other: Grant Support; Secura Bio: Other: Grant Support; Astra Zeneca: Other: Grant Support. Hosing:NKARTA Inc.: Consultancy. Kebriaei:Amgen: Other: Research Support; Jazz: Consultancy; Kite: Other: Served on advisory board; Ziopharm: Other: Research Support; Novartis: Other: Served on advisory board; Pfizer: Other: Served on advisory board. Popat:Bayer: Research Funding; Novartis: Research Funding. Qazilbash:Janssen: Research Funding; Bioline: Research Funding; Angiocrine: Research Funding; Amgen: Research Funding; Bioclinica: Consultancy. Alousi:Therakos: Research Funding; Alexion: Honoraria; Incyte: Honoraria, Research Funding. Shpall:Takeda: Other: Licensing Agreement; Magenta: Membership on an entity's Board of Directors or advisory committees; Novartis: Membership on an entity's Board of Directors or advisory committees; Celgene: Membership on an entity's Board of Directors or advisory committees; Adaptimmune: Membership on an entity's Board of Directors or advisory committees; Zelluna: Membership on an entity's Board of Directors or advisory committees. Rezvani:GemoAb: Membership on an entity's Board of Directors or advisory committees; Formula Pharma: Membership on an entity's Board of Directors or advisory committees; Pharmacyclics: Other: Educational grant; Affimed: Other: Educational grant; Takeda: Other: Licensing agreement; Adicet Bio: Membership on an entity's Board of Directors or advisory committees; Virogen: Membership on an entity's Board of Directors or advisory committees. Khouri:Pfizer: Research Funding; Bristol Myers Squibb: Research Funding. Parmar:Cellenkos Inc.: Current equity holder in private company, Membership on an entity's Board of Directors or advisory committees, Patents & Royalties, Research Funding. Champlin:Genzyme: Speakers Bureau; DKMS America: Membership on an entity's Board of Directors or advisory committees; Cytonus: Consultancy; Actinium: Consultancy; Takeda: Patents & Royalties; Omeros: Consultancy; Johnson and Johnson: Consultancy.
Vorinostat and busulfan were used as part of conditioning regimens for ASCT for Hodgkin lymphoma.
Author notes
Asterisk with author names denotes non-ASH members.

This feature is available to Subscribers Only
Sign In or Create an Account Close Modal